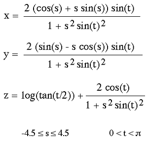
Kuen Surface

Created by Paul Bourke
May 1989

Surface of constant curvature (negative).
Attributed to T. Kuen circa 1884.




Featured on the cover of the HPC (High Performance Computing) magazine, 24 August 2001.